На площадке госзакупок появился конкурс по поиску подрядчика для проведения строительно-монтажных работ по объекту «Благоустройство городского парка, ул.Мира-Октябрьский проспект. Очистка и берегоукрепление прудов». За берегоукрепление и расчистку старых прудов, а также обустройство прогулочной и водной инфраструктуры мэрия Владимира готова заплатить больше 672 миллионов рублей. Процедура определения подрядчика назначена на 13 мая. Обустройство прудов займет чуть больше года. Работы по плану начнутся 11 июня 2025 года, а закончатся 20 августа 2026 года. С 1 апреля по 10 июня 2026 года предусмотрен технологический перерыв, «связанный с нерестом рыбы и весенним паводком».
Благоустройство городского парка на территории в 22,3 гектара в Старых садах на пересечении улицы Мира и Октябрьского проспекта планируется в несколько этапов:
- проектирование и строительство объекта «Автомобильная дорога от Лыбедской магистрали до ул.Пушкарской в городе Владимире, в том числе объекта «Строительство проезда от Октябрьского проспекта до улицы Стрелецкий мыс в городе Владимире»;
- очистка и берегоукрепление прудов с благоустройством прилегающей территории. После этого будет проведена корректировка ранее разработанной проектной документации ООО «РАРОК» с учетом выполненных мероприятий в рамках 2-ого этапа;
- благоустройство городского парка.
ЧТО БУДЕТ С ПРУДАМИ
Через центральную часть будущего парка протекает река Лыбедь, на которой образованы пруды. Ширина водоохранной зоны реки составляет 50 метров. В водоемах водятся щука, окунь, ротан, карась серебряный, верховка, плотва (именно поэтому в работах предусмотрен перерыв на время нереста). В качестве компенсации прогнозируемого вреда водным биоресурсам предусмотрен единовременный выпуск в реку Клязьму в границах Владимирской области молоди сазана в количестве более 2,6 тысячи особей.
Подрядчику предстоит выбрать донные отложения в прудах и провести дноуглубление — экскаваторами и самосвалами-амфибиями, для этого пруды перекачают специальным насосом в коллектор ливневой канализации Лыбедской магистрали. Будет проведено берегоукрепление шпунтами Ларсена, устройство плотин и водосборных сооружений верхнего, среднего и нижнего прудов. Судя по проектной документации, берегоукрепление будет предусматривать срезку растительного грунта, досыпку откоса, установку шпунтовой стенки и крепление откосов с защитным слоем почвенно-растительного грунта.
Как ранее анонсировали в мэрии Владимира, после проведения работ площадь зеркала воды у прудов изменится: верхний пруд увеличится более чем в три раза, средний — ровно в три раза, нижний — останется в существующих границах.
Запланировано строительство набережной со спуском к воде с причалами для лодок, а также прогулочных дорожек вдоль прудов, устройство пешеходного мостика.
ЧТО БУДЕТ С ДЕРЕВЬЯМИ
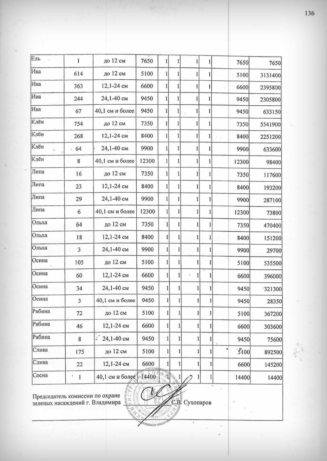
Судя по впервые опубликованному акту оценки зеленых насаждений, подлежащих сносу (или уже вырубленных) в связи необходимостью строительства объекта «Благоустройство городского парка, ул. Мира-Октябрьский проспект. Очистка и берегоукрепление прудов», только на территории вокруг прудов вырубят 4 тысячи 180 деревьев и 52 кустарника. Больше всего вырубят кленов (1094 штуки), ив (1288 штук), яблонь (327 штук), вишен (299 штук), осин (202 штуки).
Причем, документ был подписан еще в сентябре 2024 года председателем комиссии по охране зеленых насаждений и главным экологом города Владимира Сергеем Сухопаровым.
Сколько еще будет вырублено деревьев в рамках работ по благоустройству основной территории парка, а не только прибрежной зоны прудов — неизвестно, но судя по риторике мэрии Владимира, рассчитывать на бережное отношение к насаждениям не стоит. Мэр Дмитрий Наумов и начальник управления архитектуры Игорь Соловьев неоднократно характеризовали деревья в Старых садах, как «кустарники, самосев, всевозможный хмызник», не имеющие ценности и представляющие опасность своим аварийным состоянием. Пока еще сохранившиеся в садах деревья раскритиковала и главный городской садовник: по мнению Ирины Кузьменко, растения там либо аварийные, либо повреждены вредителями, грибами и бактериальными инфекциями, либо просто долго не проживут.
По контракту подрядчику в зоне прудов предстоит провести вырубку древесно-кустарниковой растительности на откосах. Намечена расчистка береговой полосы в месте производства работ от кустарника и мелколесья - санитарная вырубка больных, повреждённых, сухих деревьев, сводка сорной древесно-кустарниковой растительности.
При этом проектом озеленения, который содержится в документации, предусмотрена высадка 562 саженцев деревьев.
Однако в ведомости работ конкурсной документации указано несколько большее число деревьев и кустарников для озеленения: в рамках озеленения прибрежной территории будут высажены:
-
177 плакучих ив,
-
173 саженца сосны,
-
53 сливы растопыренных Нигра,
-
47 буков лесных,
-
52 яблони,
-
133 спиреи японских,
-
16 грабов обыкновенных.
На участке «дополнительного благоустройства территории» подсадят еще 20 ив плакучих, 21 сосну, 6 слив, 13 буков и 7 спирей.
БЛАГОУСТРОЙСТВО
Благоустройство территории парка включает устройство пешеходных дорожек с настилом и с покрытием их бетонной тротуарной плитки, установку 78 скамеек и 98 урн. Вдоль одной из зон отдыха предусмотрена подпорная стена - монолитная железобетонная из бетона с армированием.
Проект благоустройства береговой линии предусматривает набережную со спуском к воде протяженностью ориентировочно 1600 погонных метров. Будут благоустроены прогулочные дорожки вдоль прудов, места кратковременного отдыха, а также пирсы для сезонного размещения и организации проката весельных лодок, катамаранов. Здесь же построят две лодочные станции — на верхнем и среднем прудах.
Благоустройство зоны родника, который является особо охраняемой природной территорией регионального значения памятник природы Владимирской области «Родник на улице Мира», будет предусматривать установку высокого каркасного навеса и полную замену лестницы-спуска. Дизайн лодочных станций и навеса над родником будет схожий:
В садах построят двухуровневую смотровую площадку, еще две обычные смотровые площадки, уровневые спуски к воде, пандусы для маломобильных граждан. Освещение новой парковой зоны предполагает установку 144 светильников.
На прудах Старых садов предусмотрено строительство гидроузла, включающего в себя плотины шириной 40, 12 и 7 метров и водосбросные сооружения автоматического действия.
Telegram-канал Зебра ТВ: новости в удобном формате.
